概要:在wps这些windows下面的文本编辑工具中,我们常常使用公式编辑器来编辑数学公式,作为计算机和其他理工科的学生,如果想在linux下面编辑出漂亮的文档,就少不了linux下的编辑工具了。本文,将为你介绍libreoffice math的简单使用,基本可以应付大部分文档和公式编辑的需要。
1.安装在Ubuntu软件中心或者终端中,安装libreofficemath套件,这在发行版中并没有默认安装,需要自己手动安装。
2.启动
2.1作为独立文档创建
1)在终端中输入命令libreoffice–math
2)打开libreoffice,然后在toolbar栏:File——New——formular
2.2作为文档中的一部分
insert——object——Formular
3.一些实例和分析
3.1带上下索引的符号
(1)D_mn^size /2 LEFT(3 OVER 2 RIGHT)
效果:

此例展示了右侧下标,右侧上标,字体大小,输出方向的应用还有内容和位置的大小控制
(2)%SIGMA_g^{{}+{}}lsup3
效果:

注意:希腊字母,左上标,占位符
(3)%PHI^{i_1i_2 dotsaxis i_n}_{k_1 k_2 dotsaxis k_n}
效果:

注意:块输入,省略号输入
3.2矩阵
代码:fontsans bold size *2 A =left[matrix{A_11#A_12#dotsaxis#A_{1n}##A_21#{}#{}#A_{2n}##dotsvert#{}#{}#dotsvert##A_{n1}#A_{n2}#dotsaxis#A_nn}right]
效果:

注意:占位符,大小自适应
3.3含有不同大小自己的矩阵
代码:funcG^{(%alpha" ," %beta)}_{ x_m x_n} = left[ matrix {arctan(%alpha) # arctan(%beta) ## x_m + x_n # x_m - x_n }right]
效果:

注意:矩阵,希腊字母,格式化空格的输出
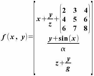
3.4粗体矩阵
代码:bold{ f(x", "y) = left [ stack { x + y over z + left lbracematrix { 2 # 3 # 4 ## 4 # 5 # 6 ## 6 # 7 # 8} right rbrace # {y + sin(x)} over %alpha # z + y over g } right ]}
效果:

注意:只有一列的不同宽度矩阵,大括号的输入方法
3.5函数
代码:funcf(x","y)={x sin x~ tan y} over {cos x}
效果:

注意:另外一种空格的输入方法
3.6根
代码:%LAMBDA_{deg","t}=1+ %alpha_deg SQRT {M_t over M_{(t=0)}-1}~"."
效果:

注意:根号的输入
3.7综合实例
代码:%rho(fontsans bold q","%omega) = int func e^{i %omegat}%rho(font sans bold q","t)"d"t
效果:
